We can use STG amplifier for temperature measurements using platinum resistance thermometers like PT100, PT200, PT500, PT1000, or PT2000. In DEWESoft, measurement mode must be selected to Temperature, and input type to the used sensor.

Industrial platinum resistance thermometers and platinum temperature sensors are covered by IEC 60751:2022 standard!
| Sensor resistor value R0 (Ω ) | Resistance @ -200 °C | Resistance @ 0 °C | Resistance @ +850 °C |
| 100 | 18.52 | 100 | 390.48 |
Resistance values
The temperature/resistance relationship in table above is given for a resistor with nominal resistance of 100 Ω. For other nominal resistances R0, such as; 10 Ω, 500 Ω or 1 000 Ω, the table can be used by multiplying the table values with the factor R0 /100 Ω.
In temperature mode excitation constant current is used and voltage drop on the sensor is measured.
Voltage range and current excitation is set depending on the selected sensor in the input type field.
The following table applies to SIRIUS-STG and SIRIUS-UNI:
The following table applies to SIRIUS-HS-STG:
Accuracy of measured voltage and used excitation is specified in a technical reference manual. Below is a screenshot of SIRIUS-STG specifications.


In the first step, we can calculate the accuracy of resistance measurement. Resistance is calculated with an equation (model function):

For example, let's say we are using STGv2 and measuring 109.73 Ohm which corresponds to the resistance of the PT100 sensor at a temperature of 25 °C. Excitation is set to 1 mA therefore measured voltage will be 109.73 mV.
Resistance uncertainty
The calculation is made in accordance with the document EA-4/02 (Evaluation of the Uncertainty of Measurement in calibration)
- Uncertainty of estimate for set excitation 1 mA is 0.1 % of set value + 2 μA = 3 μA. In 1 V voltage range Uncertainty of estimate for measured voltage is 0.05 % of reading + 0.2 mV = 254.9 μV.
- Specifications are in rectangular probability distribution therefore Divider is equal to sqrt(3).
- Standard uncertainty is calculated with the equation:

- To get a Sensitivity coefficient model function needs to be partial derivatives with respect to the input quantities U_measured and I_setExcitation.
In the first case, we get 1 / I_setExcitation = 1E3 and in second -U_measured / I_setExcitation ^ 2 = -1.097E5.
- Contribution to the standard uncertainty is calculated with an equation:

- U_measured and I_setExcitation are uncorrelated quantities. Contributions to the standard uncertainties are added together with an equation:

In our case, it is sqrt(0.1471 ^ 2 + 0.1901 ^ 2) = 0.2404.
- Degrees of freedom is in both cases equal to infinity.
- Parameter Effective degrees of freedom is calculated with the Welch-Satterthwaite equation:

Effective degrees of freedom is equal to infinity since in both cases the Degrees of freedom are infinity.
- Coverage factor is calculated using the inverse Student's t-distribution equation and is equal to 2 at Effective degrees of freedom equal to infinity and a Confidence level of approximately 95.5 %.
- Expanded uncertainty is calculated with an equation:

In our case Expanded uncertainty is 0.2404 * 2 = 0.4807. Expanded uncertainty is rounded to two significant figures with a ceiling function resulting in 0.49 Ohm.
The accuracy of the current excitation and the accuracy of the voltage measurement are taken into account in this calculation. Since the model function for calculating the resistance is relatively simple, the calculation of the accuracy for the resistance can be simplified.
Expanded uncertainty for resistance measurement can be calculated using the equation below, where we use U_Measured, I_SetExcitation, R_calculated, and Uncertainty of estimate (accuracy, defined in the device technical reference manual).

If we use the same example as above:
- Measured voltage U_Measured is 0.1097 V, set excitation I_SetExcitation is 1 mA, and calculated resistance R_calculated is 109.73 Ohm.
- Uncertainty of estimate for set excitation is 0.1 % of set value + 2 μA = 3 μA.
- Uncertainty of estimate for measured voltage is 0.05 % of reading + 0.2 mV = 254.9 μV.
- Calculated Expanded uncertainty is 0.4807 Ohm, which is rounded to 0.49 Ohm.
The equation is at the end divided by Sqrt(3) to express uncertainty as Combined standard uncertainty and multiplied by a factor of 2 to obtain the result as the Expanded uncertainty that corresponds to a coverage probability of approximately 95.5 %.
Temperature
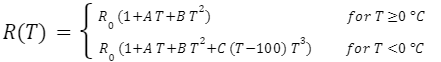
The next step is to calculate the temperature. The relationship between resistance and temperature is described by the Callendar-Van Dusen equation.

R0 is the resistance of PT sensor at 0 °C. For PT100 this means 100 Ohm.
Constants A, B, and C are defined in standard EN 60751 as:

To convert the resistance of the PT sensor to temperature it is necessary to solve the Callendar-Van Dusen equation for variable T. For temperatures above 0 ° C, the following equation can be used:

For temperatures below 0 °C Callendar-Van Dusen equation is too complex to resolve therefore alternative methods of solving equations have to be used (numerical solutions, approximation with tables, etc.).
The calculation for the accuracy of temperature measurement is done the same as in the previous case in the calculation of resistance. For example, we can take the same case where the used excitation is 1 mA and the measured voltage is 109.73 mV.
All calculations are given in the table below:
In this case, the Expanded uncertainty is 1.239 °C, and it is rounded to two significant figures resulting in 1.3 °C.
Calculations can be repeated for whole temperature range and displayed in chart bellow:
